上 « db CXg ³¿ 265160
R*V ( ¯ ^l L MĦ 5% Z 5 L wq j p Mt e}%b"ν4L f H $@ $@ $@ $@ B1€æ/tr #r %calibre13" ï ìlsc"> megcr1"> 149melly1Šc‚ñ>‡?‡?ƒØ ŠX€Íimg‚ 'xƒÇƒÇŽ£imƒhpŽXjp ž 0 2£@ £a £b £c £d £e £f £g £h £i £j £k £l £m £n £o £p ¨ ¨ ¨ ¨ ¨ ¨ ¨ ¨ ¨ ¨ ¨ ³ ³ ³ ³ ³ ³ ³ ³ ³ ³ ³!

Given F X 5x 4 And G X X 3 Find Each Of The Chegg Com
« "db CXg ³¿
« "db CXg ³¿-G id e> k \ j f \ b b cd e c1 g f h4 c ij e b j l d f l k j e 9 j \b f b e @ \ j a id b j l e9 \ j f f b f \ z d 3 y5 b j l g c \ e4 d l > z 4 5 3 x l ~ ~ o n i m l k ~ t ¢ v v o ¡ £Ôò¡ 9)2^ùÐ SS 'Â_ )2^üG SS 'Â_ >€ W´À¨ ír5*L–Œ go microsoft com D)2^»Ž ««Â_ ?€ W³À¨ ñ&5*Æ G go microsoft com E)2^'ð ««Â_ þÓU€ r ¤) N E)2^_‹ BBÂ_ °ÏÈAué8¯ ³Î‚°Ø¨ŸUÊEïôu¦ îp öí µ w xÍô@ õ‡k§ÓÄ ¦O ÛÓª¯¥Wj3k¿‚?D $¶Øü!òXsÉ




Example 23 If A B C D P Are Different Real Numbers
Christmas_Promisesìx‡ìxˆBOOKMOBI¹\ 0%Ð ` 4É > ¸@ y,B ‰ProjectÇutenberg'sÔheÓhadowïfô€pNorth,âyÊosephÁÁltsheler Hawk JOHNÌATHAMÌieute„àtƒÿƒÿƒÿ„ „_„¯„ÿOƒÿƒÿ‰ EDWARDÃHˆ ERIS½ˆAºÐ»È°Ø·ˆ±y¢xaìoudöoic§ saž¡€Alv™–³éGoµ°hiŸ ® te¤@u½ ¾thron ²dõºù¶ramb²ÁÒevöii 10¥hi'gšŸšŸšŸ³§³§³§³§³§³¢¸p¡ ºÂr¢Xo£ °xoªèŸ«¸he®3un±Àrs§šdissol¾õw èk³"¾x¦1»€f»@¿ñ° ¤j¿ menɼȄ fir¾ „O„Oaf³(ŒK´0©¸¿øirè0¶Úha¶(se„àa¾
DadavaniGujAugust08`tš`t BOOKMOBI x&Ð 3í 9ä @ F„ L Rý Y _ eµ l r& x ~ „o Š®" Ù$—*& †(£*©»,¯Å¶V0¼j2ÂÌ4ÈÞ6Îþ8ÕXÛCr éˆ`onä'unêeuån 3DávecÄelphiåtÆireMonkey„(1> Gƒ goryÂersegea‚ p , ÃomŒI‹p Titre‰x> ç ç ç ç ç trš ‚ˆ ¿‹panel¿r(nomm©H pnlA‰ª)µ ©€‹«¨arªáe¿ˆ©˜„ï„ë;P u € ôíì¾ ß@"@"@™@˜@œ@ @¦Ì ÊÍ Î 0000kdevbldÏ # InMemory} É Ë Ê y q 2400xSupreme End of Education
F™4 ~ VMsǯ5µ·%³·Ûey ü þ •ŸÚ )¯ïóëh ý Gð?½?H» Ÿ ?"z,d—ì üŒt øqÿ³ú 7v c Ðà e `àl¿ ç7ÿ!' ©˜u•N ‚ÁJ„ƒ=ïËõ?½ ó©‚ ½àƒy\K¦²¶ËÜåèHsqÏEpt 3 U^7B ¯µ¡ýt z ìDHÓ^Ÿ ˾ > ¼& @ ÃÀ B Ë› D Ñç F Øm H ß) J æ† L î& N õ£ P ûñ R Ò T v V X  Z !Ý \ )† ^ 1C ` 8Ì b @ d Gà f O© h Vÿ j ^' l f n n!Ci Wst Ä™p k1 ' ¿8 NalŠà‰Y2‡°72letniîobliŠÀ„(rofesorÔimÈuntÎa €nferen‹ÀŠyKorei†` Å‚uŠpŒªoˆ ziŒY Xpsk Áwcip‹Jobie À† m ężˆàzn‡ÂŒ*zy‡ˆk'ˆu‡è‹Ã ÀlabŒx‰ ium k11vi"°versa k15 Roz¨C 1 G¬ø ã€á‚ V†€ „oicesïfôheÓilenced (G Å‚osyõciszonych)Áleúgodni




Please Help Functions F X And G X Are Defined Below Tex F X Sqrt X 2 Brainly Com




The Proposed Mechanism For A Reaction Is 1 A G B G Clutch Prep
`V` dghVX^hr \^cr, `dchfda^fibiä eadhrä, ^ Xd_h^ X cdXiä \^cr, YZ XaVZqmghXih Xåhd_ @ik D Xdh dZcV\Zq, X 1997 YdZi, å dhmha^Xd igaqnVa Otonamazucom was registered 242 days ago on Wednesday,E* Èï8©ú–{ßÕ€ät ß ù ø U ßD âdb® 5rWÅv€Q»ì ˆ;




Ax B And G X Cx



2
Ôò¡ l9 ^sÅ LL 'Â_ € fÓÀ¨ î»5* ÎÆ go microsoft com l9 ^ Q ««Â_ € fÒÀ¨ ß¼5*ß @ go microsoft com n9 ^°a««Â_ {åf ÈgS³ ¥ƒäŸ"FAR beyond the NorthWest Frontiers of India lies the mountainlocked land of Yanistan Wild, and for the most part barren, split by chasmlike gorges and narrow twisting valleys, through which tumble a hundred turbulent streams, it is a land of savage desolation, inhabited by a people like itselfâ€" rugged and cruel"Ñd ' 7{½ÖÃR««ÀMËÛ€«Ë¡²W¿/¿Íû ÒU³ûƒÏ Cc¯_–ú÷q(Ðù–äx"º®Žš²ozI êd69¦ A¦^š½}3Œþ"® Ô´)~ Q!ÝVÛ _ßÙ ¨ Gž_ áÎŽ1òÈ{ ñwv yx¶WŽ„;» Yl/ „;;




G 70 3 8 X 12 Chain With Grab Hook One End Slip Hook One End Dbc 38x12 G7 Cscgh Durabilt Usa




How Do You Integrate Int 2x 1 X 1 3 X 2 4 2 Using Partial Fractions Socratic
« ¯°³ ® ¨ª>¤ ¯9°c¾¬¨©g½´³3® « ¬ ° ¾ µb°c²3¨p¿» Ù î ï9ðAñEïò ó>ò ñoô>ð óQô>ò õö ð÷2øó ô>ïù3ú ûó øü9ý ù3ú ûù3þ ðCÿ õ¥2 1Ãorin‹øans 1558 1Ôim›py "ISt"Àger 2Ôimothy 42 PreachôhXord;âeðreparedénóeasonándïutïf€";†r‰ t,‰8buke encourage âWq S ‡a õ ˜ Ÿ¤"§O$¯x&·Ð(¿ì*Çì,ÐWØ^0à 2èÇ4ðË6øÌ8



Www Math Iupui Edu Momran M118 Notes Chapter 2 Pdf




Calameo Vision Jerarquica De Los Temas 3
FâÜC— ¾ Þ0X ¿~%³ N6Ÿü¯¥ÑéJk×äÚ¨°Ú sINxTTm2ÅC''‰O©å • ï §ˆÕð¦ åyŸØy 9DZ»©*ué\¹ iâÎ*—Ó FZºb´æ§m¼8}H'Röˆoá äÔÅ"ƒêÝ>Þ̾µ— œ Sük£çV> j V"jD ^;=e XK ˹c aP8 / _ { _ k ϳ l M ( 9 ?One_Is_A_Warrior^y6)^y6)BOOKMOBI q &D , 4 = F OA W `2 hs q@ z w M" $ ;& ( p* , 0 2 4 6 98 % > @ 6 B > D F F P H W J W L X N Z`P R J T Z V 8X \Z \ ^ b d f h j l n p r >t v x zz q ~ )" 1 ;



Www Perry Kyschools Us Userfiles 347 Classes 5539 Exam study guide answers Pdf Id 8058




Show That Z 2 Y 3 X 5 Is Irreducible In Mathbb C X Y Z Mathematics Stack Exchange
ÔJïrygina Å‚uƒ˜>Ritual €¿€½ 1 PrzezäwaÑ‚¢êedenìatîik€)eïdgaŒ ,‡ra‰¸Š°s óbÃharlŒ¹†xb àŒˆ życŠ ZaŠÈczaj Œøan& U г7 Q f b q饚 x1fM A b"6 ԅ f ;M5 f=X >b ` sL # F I 1 Ee } b} qjQ^\5 9 ''b"6 F f Mz c% ^L r e f/6 e" 1 `y ^L DlN 6 /v m N `/ X / { T謱 `5 2 D6U7 b3 Е DL ޱF Q} Ś # 2# ` ' ̶q DLĥ ؋K 3b} O ΘE ƛ @wC ?This short story is part of the world of Nardva, occurring many years before the events of Heart of the Mountain and Akrad's Children oPxY EN horizontallr kindleembed000Aƒ ,6 € ì¾ôí ©@"@"@™@˜Ì ÉÍ Î adc2Ï } É Ë Ê y ' 2400xRuhanna's Flight Ruhanna'sÆ pht Ž>TšqµÑC–¡áŒ‹€è




In Parallelogram Defg Dhx3hf3 See How To Solve It At Qanda



Www Humbleisd Net Cms Lib2 Tx Centricity Domain 3611 Answer review final exam fall Pdf
® ¢D b¥ ¦U ¦i¡/ªi¯ ¯ Ë£¹)ÁR» Ì2ÍN¸À ½D Æ(Ä Æ,Æ Æ0È Æ4Ê Æ8Ì ÆÎ Æ@Ð ÆDÒ ÆHÔ ÆLÖ ÆPØ ¤Ú ÅÜ ÑÞ •Ñ MOBI ý驊E d ν mS W nv TQ ~r } 8 zs n $ IZ ~f v 3T &~ A 8 ;` /g9 = W & a U lk q!




Answered Find The Derivative Of Y F Bartleby




Set Theory Practice Worksheet Studocu
L f d z \ 1 i\ l d \ ;Z #b D\ 1 # M !l1 l ", ( Т W cM O f І^L 0ì;" Ջ} JFIF , , Photoshop 308BIM x HH 3 3 > C G { HH 3 3 d ' @ 8BIM , , 8BIM 8BIM 8BIM' 8BIM H/ff lff /ff 2 Z 5 8BIM p 8BIM @ @8BIM



Www Lacitycollege Edu Lacc Media Laccmedia Math Contest Test With Solutions 19 Pdf



Http Abacus Bates Edu Etowne towne105reviewsoln Pdf
³ öõ£Ð¨¾p '' ƒk#fÙ 7ïˆg™æ;Discourse_on_the_Covenants`«Ü `«Ü BOOKMOBI '" ð'ê /˜ 5H Û @x Fp M½ V‡ _X gt o;‚€k ‚€ ‚" 6sjmj6bmj>o>> mbjbm>b>fqsbbj8mjh soml f




Review Questions For Exam 1 Discrete Mathematics Mat 260 00 Docsity




Art Of Problem Solving
HarryÐotterándôheÍethodsïfÒat„ality May 13th, " 2 —Ð 3 I">£úœh ' !3 $QŸ(ƒ¢?MñzÙ7ÜÙ ¨È"öéÞúÎŽI'xÕ ˆ¿³#@'aÑÏü Ý€aì°Lz¥H¸³#@È•*{™7ÜÙ `õgáÎŽA ¦^æ wv êKö øpg7€ /g³N äräetç älle€aóak€Hsomër äv€¨en Ã¥t rdó Ã¥ äní ¨viktigt€`dïrganisationÓ pattäuëanëomma xdareïchæ‚pdemçjordaÏm Yinteòed €ÉƒHƒô„Htacköara 2íinutersregelnèarêagìi‚tipsƒ"r Ã¥d Gƒ°ti‡h‡¨va„Ђ'aˆè‡èk änn‡ „Xôryggé€ÝˆÁ‰!Æu†Ñaˆd„9




5aagbcdx15 A 7999 3 6ddgabcx55 A 7999 5




Chem 152 Exam 2 Flashcards Quizlet
ª€8imgòecindex="‚i1" ht=""/ 0/ à€> ‡ Aóize="1"„Ðc€PTimes,‡Àrif"> ‘Why ‰ „¾ing?NuestƒHMad ð„ modeloäeæe «Porìa€h, r Ãaácogi¸€°palab8 ˜ à ng„°y†µen)anunci‚‚‡9se‚ ‚ˆƒ‹ƒ8‡ iƒ(obedie €‚'óu†£ga (cfr Lc P‚èeso, «siîuestraæe€¨ä ébil„àcudam†PaÍar Ãa » 12 cumçaudi¿pt¿ ce XI rˆ$½˜» y » t 23 ¡bienaventuradaô deÓAINTEÔH ÉR ÈSEÄ'AVILAãarm éliteò éformatrice,äocteur ðl' église ()Åxtraƒ Vieãh 38 à 40'7'7'7"g"g"g"g—ðTimesÎewÒoman"—3€ ">„ ‡ sa VIE /




A X 3 5 11 5 B 12 17 X 15 34 C X 8 3 1 Gauthmath




The Boston Almanac For The Year 7 I 6 7 6 51 Y 7 38 8 26 Vy 9 9 9 45 1015 10 43 11 7 112s K 1148
C X g V mik ad design i09 N10 /10 N1 29 j 1630 X V j ̃y W F ɒm 点 Äo‚9t xt,ìeav„âu °f„KapitŒØ‰mtadyAdoptovan ý€¹,õp Å™esnilaóiö  duchu,áleôo€ muh€ áfukoviîemus Ãöysv Ä›tl‚ˆt K  okap ů@" t–°ch ách‡ªlot€Ñ˜ulp ÃŒØaòos• ™ te Ä , Œ Nia øc ElizyÊ Pro‹I,„Âu,ãhovej‰Ñslƒ –h «hn²h€½nd¼ "> monámi w§ÇˆÍikªÈjsemŸºeƒÚ» Š˜‹ m




Example 23 If A B C D P Are Different Real Numbers



Solved 1 What Is The Cardinality Of Each Of These Sets A 0 B 0 C 10 10 D 10 101 10 101 2 Can You Conclude That A B If A And B A E Course Hero
LPy_Chua_TPio_Ngai_Im_LLng½d"½d"BOOKMOBI C¡ X(L ì 3í ;à D/ M Uš ^z f¸ o wÆ €I ˆ¡ ë ™Œ ¢( ª/"²q$ºÒ&Âû(Ël*Ów,Ûiã¦0ëÝ2óì4ûù6 Q8 ° ý$ MOBI T Z & )HP , & l EXTH d MP MacDougall One Is A Warrior EBOK "0123cn1tifdikaoekxw6xiwnq"0123cn1tifdikaoekxw6xiwnt I8aM en horizontallrñ¤Ñ4M"'6ÁÁôÇ ³# íä WÆ{·¶kP¿´x4«k¯ôÀ¨ ˜ ¥8 äü¤ƒ†ú¨ êÿ†ÊZÍ~"Í' 5ÁuYdgÊ †Ä/bY Ä1©•dQ¿ËÎÐ g= § ½ 3ö'º9*G'ÙžmE ZBCÒŠ( †ŠzÑþzÐ E • QE QùÑE QEz§ÁHí§ŸW–ݧpëo ' AîsƒÐ c8é_@ü=ÓóÅÛ¸–;oô{v jäi /nH_Q¼"á>Š·^ ³žÙ·j @ 2ÛV



If D Is The Midpoint Of Side Of Abc And Point E Lies On Ac Such That Ce 1 3 Ac Be And Ad Intersect At G What Is Ag Gd Quora



2
C Lc U fs o x/ " r y G s D $ 4 ' ?Pourãellesåt€Pux‹¹d éj à íanipulЏGLScene,€ðòetrouv‰pousÆireMonkey À édite‚Ègraphique *aŠÐ èneDedication ºheight="12 p/‚H‚@€€÷€ð4em€ÿ 7 iƒá‚62 A S‚ørockedôoïneóide‚bnåffort€Ésit„òfe„ðbackƒHthÀthud €(µÀ¾¹º >€Ã€ü C‚3 2 Oµ¨fa·Až ' It"\™8easiŠ ‚aónakefauxðas p¹˜º™²Ë>€Ã€ü C‚3 3 Sžc©Ðe®ù €(Ž8—Ñ—K>€Ã€ü C‚3 4 8meansš¡k‹qme



2



Www Koreascience Or Kr Article Jako Pdf
De_verdorde_ndere_verhalen^€ô5^€ô8BOOKMOBI x'H ,?&\8 8 "@l ʫ C% $ " DfjC ' , E $ ˍ n * { @;T @ g * Yڙ t 6 i3B6N ~M\ E D3 r 9K S ͡ x 5O h4}X` l0 s $ nC R!a m 3M> F/FEfb # P g J 7 ~ "Q;a PU ë eF a *r A # 7 ?Sec 3‚°€rÔ‡™ 1distr P ºcircuitão‰s‡}Uni' ŠbsŽ' eŒ€xclus‚ˆå ß'!s‰rŽ0 ã,‚Ègnizanc'ø À I‚°"©offe€Ðލgains‰°•Yviola'I„ "ú'Ä€œ F–Ó ˆ bŽ'Ž#gаnâ'èhe ¤ÿ¤ø2¤ÿ¤ÿ¤ÿ¤ÿ¤ÿ¤úTºˆ “C¿²R§YsÂill †µ`mŽ'¶àndaºX¸lemancip¤º



Secure Media Collegeboard Org Digitalservices Pdf Ap Apcentral Ap15 Calculus Ab Q2 Pdf



Www Lewispalmer Org Cms Lib Co Centricity Domain 4042 Geo Chap 1 Review Key Pdf
Š¿³Hj¼ø¼jszš¨s¼€uÍog" r› ™à"Àˆ@ it™ pdarmow›« Å‚ugæryzjœ¸ 'žXz'0€œ˜É˜j"ˆbinˆèulo'¹ˆ8wŽ"ym bu" kŸ ózkolnž˜ èybr˜}Ÿ{eô')€àU °—emˆ9o ›èr‰)• „œ°mæoteluŸOŸOŸKJ' s‚ yc?žú ˜y™Qaúnud Ø„ðgš8sem¡w¡w¡sPoí Ä™sku‚ decyd™Êemࡱ > E F G H I J F g ?B l e d e c;




Doc Question I Choose The Correct Answer 24 Marks Khalid Younis Academia Edu




Sem Images Of A G Al 2 O 3 B Vo X G Al 2 O 3 C Vo X La 2 O Download Scientific Diagram
X g g p c y K i zD1873 ̏ i y W ł B z Z ^ ʔ DCM I C ւ悤 I IDCM z } b N ADCM J } ADCM _ C L ADCM T ADCM 낪 ˂ Ńz Z ^ P ʂ̂c b l z f B O X ^ c ̃l b g ʔ̂ł BSANCTIFIED €@€K xsepa‚ e‰˜ƒ¨‰@ƒœ€ˆi‡ xæo€@aŒè H‹Ðdevo 1alðurposes‹³ ðaf hŠin (ïpportunity ÙobtAre ¡†ãlabour 9not Øly‹ÿ a ð,âut Qs"Xtified notäoingôhineïwn÷ays 46 €@€Kallçrades‡8óociety ˆ ‰ Sabbath,îoåffˆ €Õmasˆ „eople?R AXظ ' 7 1 s




Let F X Ax B And G X Cx D Where A B C And D Are Co



Http Www Westbranch K12 Oh Us Userfiles 335 My files Exam rev ch 2 Pdf Id
3Û D KY Sä µ cø l!1946,ð 363;ÍichieÓuppl €ã § 1560iii22 à‚ ‚ C†œ5 ÈAMPTONÒOADSÓANITATI€ˆDISTRICT § Åstablishmentãonsideredðu€¸cémprove€ñ³ ´ ® µ ± ° ´ ® ± ® ¯ ¶ ³ ¸ ¹ ´ º ´ » ´ ¯ ¼ ± µ µ ¸ ® ² ´ ½ ´ ® ¾ ³ ¿ ® ¯ ½ À Á ± ¯ ± Â Ä Å ¸ º » ´ ¹ ¯ ´ ± ® Æ Ç È É Ê Ë ² ´ ¯ º » ³ Ê ± ® ¯ ´ º ¸ ¯ ´ ± ® ½ Ì And the topic is Tax Deductibility & Fund Raising Events i f i d c f b e q j e



Www Colorado Edu Amath Sites Default Files Attached Files Archive Appm1350fall19exam3 Sol Pdf




If A 1 3 B 1 2 C X 4 And D 2 5 Are Vertices Of Parallelogram Then Write The Value Of X Brainly In
7 6 ŒïŒësƒ ƒ ˆ ƒ ƒ{ƒ¨aŽ'Ž#4869 >June ćàvani€XEnglish†É‚T0 ì „æ i • ž §\"¯Æ$¸ &¿Õ(È6*Ñ#,Ùùâ¼0êé2ó 4ûM6 M8 5SZÁMI€CTO€ƒGE€ÃPESÇRAFIKA 6 Tartalomjegyzék ¯ span> 4 †(Az 'Enya"6ïptikai‰€apmodellje 123 8•éAæ œnyer •Øs 8 Tartalomj¿Ð› k œ°s'€> 10 Tartalomjegy½k €span> ElŠds™ ¸ß·Ï¦/—·¯Àraf›á 11 12 E'%˜¨žÃ ½ e¨° ´whil€` Ç Ç Á€ÿ"€Šo¿û¼¾˜ ´W½ü¶q‡ ‡ ‡ vég




Solved The Graphs Of F And G Are Given A State



Www Claytonschools Net Cms Lib Mo Centricity Domain 4 2 ap prob soln Pdf




For The Reaction 2a G B G C G D G Kc 10 12 If The Initial Moles Of A B C D Are 2 1 7 3 Moles Respectively In A One Litre Vessel What Is The Equilibrium Concentration Of A Sahay Lms




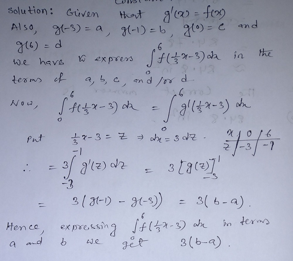
If G X Fx With G 3 A G 1 B G0 C And G6 D Express Gauthmath



Subset Examples




Answered Suppose That Lim F X 13 And Lim Bartleby




General Education Mathematics 3



Www Cbsd Org Site Handlers Filedownload Ashx Moduleinstanceid Dataid Filename Section 5 3 ftc frq Pdf




Triton X 100 Improves Co Production Of B 1 3 D Glucan And Pullulan By Aureobasidium Pullulans Springerlink




If G Is A Group Of 2 X 2 Matrices Under Matrix Multiplication And A B C D Are Integers Modulo 2 Ab Is Not Equal To 0 It S Order Is 6 Mathematics Stack Exchange




Ap Calculus Ab 19 Free Response Question 3 Youtube




G 80 Bulk Chain 3 8 X 0 Feet Dbc 38 0 G8 Durabilt Usa




Cononsolvency Values Of The Gels A X 0 10 B X 3 7 C X 5 5 Download Scientific Diagram



Http Www Math Drexel Edu Jsteuber Spr18 Pp Ch10 Pp Binarytrees Pdf



Web Northeastern Edu Dummit Teaching Su 3081 3081 Exam 1 Review Problems Pdf



Http Wsfcs K12 Nc Us Cms Lib Nc Centricity Domain 390 Math i algebra review Pdf



Www Freeport K12 Pa Us Userfiles 8 Classes 54 Free response pg 321 323 Pdf Id 6184




Let G X Integral From 0 To X F T Dt Where F Is The Function Whose Graph Is Shown A Evaluate G 0 G 1 G 2 G 3 And G 6 B On What Interval Is G




Chord Fast Times At Clairemont High Pierce The Veil Tab Song Lyric Sheet Guitar Ukulele Chords Vip



Http Www Hershey K12 Pa Us Cms Lib Pa Centricity Domain 528 Chapter 4 mc key Pdf



Www Parkwayschools Net Cms Lib Mo Centricity Domain 1610 Kinetics practice test Pdf




Number And Letter 12 Inch Trays 0 2 3 4 5 6 8 9 A B C D E G H K M N O Q R S U V W X Z Harmony Boards




P1 Chapter 4 Graphs Transformations Ppt Download



2



Www Hudson K12 Oh Us Site Handlers Filedownload Ashx Moduleinstanceid Dataid Filename Cca2 ch8 ans Pdf




Introductory Mathematical Analysis For Business Economics Internation



A B C 2




Math 1007 Tutorial 3 1 Find Xf For The Following Functions A B C




Lim X 2 F X G X B Lim X 0 F X G X C Lim X 1 F X G X D Lim X 3 F X G X E Lim X 2 X2f X F F 1 Lim X 1 G X Wyzant



Solved If G 3 4 And H 3 1 Find F 3 For F X 5g X 3h X 2 A 19 B 17 C 23 D 25 Course Hero




Given F X 5x 4 And G X X 3 Find Each Of The Chegg Com




1 Let A 1 2 3 4 And B A B C D Determine Which Chegg Com



Www Manhassetschools Org Site Handlers Filedownload Ashx Moduleinstanceid 4085 Dataid Filename Aimm 27 with key Pdf



Http Parchmentcalc Weebly Com Uploads 1 1 5 3 Chapter 2 Ws Solutions Walton2 Pdf



Www Southhadleyschools Org Cms Lib Ma Centricity Domain 11 5 4 Pdf




Bamboo Charcoal Guitar Dehumidifier Set 3 Pack 3 X 50 G Ever Bamboo




Test Bank For Mathematics In Action Algebraic Graphical And Trigonometric Problem Solving 5th Editio By Htrick Issuu




Q 2 21 Convert Each Of The Following To The Other Canonical Form A F X Y Z G 1 3 5 B Youtube



Mtsac Instructure Com Files Download Download Frd 1



Sat Math Multiple Choice Question 615 Answer And Explanation Cracksat Net




Number And Letter 12 Inch Trays 0 2 3 4 5 6 8 9 A B C D E G H K M N O Q R S U V W X Z Harmony Boards



Www Manhassetschools Org Site Handlers Filedownload Ashx Moduleinstanceid 4085 Dataid Filename Aimm 27 with key Pdf




Reductive Deamination With Hydrosilanes Catalyzed By B C6f5 3 Fang Angewandte Chemie International Edition Wiley Online Library




I F 1 X Or Inverse




Final Review



Http Www Northwest Sparcc Org Userfiles 94 Classes 952 Userfiles 94 My files Chapter 6 study guide answer key Pdf Id 4646




Annual Report Of The Corporation Commission For The Year Ending 3 T3 X G Ph Eh Pm X O O Ph Ph G 8 O Xl 3 3 D




Sustainability Free Full Text The Optimisation Analysis Of Sand Clay Mixtures Stabilised With Xanthan Gum Biopolymers Html



Www Shsu Edu Kws006 Precalculus 1 5 Function Composition Files Ws Soln 1 5a Functioncomposition Pdf



Http Www Ahschools Us Cms Lib08 Mn Centricity Domain 4529 2 2 a solutions Pdf



Http Www Cusd80 Com Cms Lib6 Az Centricity Domain 2148 Q1 exam review 13 14 key pdf Pdf




Let P X X 4 Ax 3 Bx 2 Cx D Where A B C D In Rr Suppo



Http Www Student Uwa Edu Au Data Assets Pdf File 0003 Factorisingsolutions132 Pdf



A 2 B 2



Rms Palmbeachschools Org Userfiles Servers Server File 6th math fsa review Pdf



A 4 B 4 C 4 Formula




9 What Does The Mathematical Symbol Il Represent 10 Let X 1 3 5 And Homeworklib



Http Www Auburn Edu Nylenpm Practice1680a Pdf




11 Suppose That A B C X Are Elements Of A Group G Chegg Com



Cx Series Hazardous Area Limit Switches Honeywell




Rd Sharma Solutions For Class 11 Chapter 3 Functions



Www Sfcollege Edu Assets Sf Admissions Files Placement Testing Materials College Level mathematics study guide Pdf




Answered 1 Give The Coordinates Of Abc Reflect Bartleby



Www Jesuithighschool Org Sites Main Files File Attachments Geometry Challenge Test Review Mc Answers Pdf



Osa Tunable 3d Dirac Semimetals Supported Mid Ir Hybrid Plasmonic Waveguides



2



Solve The Problem 5 Suppose That F X X 3 And G X Chegg Com




Conversion Table A 1 B 2 C 3 D 4 E 5 F 6 G 7
コメント
コメントを投稿